The Provincial Ombudsman investigation findings attached below in the green link on three illegal meetings, June 29, 2021, March 1, 2022 and March 7, 2022.
The June 29, 2021 meeting was found to be in violation of the Municipal Act as past councillors Annette Bays, Jonathan Pita, Deborah Hall Chancey aka Deborah Hall and Ronald O’Leary were discussing Annette Bays personal flyer (correspondence). I found this out when staff informed me that Annette Bays was asking staff to print over 1000 copies of her personal flyer at the Municipal office at the tax payers expense.
Jonathan Pita, Deborah Hall-Chancey aka Deborah Hall and Annette Bays tried to push the matter under the rug and told the deputy mayor and me that we have to move on as we would not support the use of tax dollars to print Annette Bays personal flyers that contained false allegations blaming past councils for the problems in Colgan. She was the one who approved the Colgan Earthworks agreement with drawings stamped “for review not to be used for construction” although the land Tribunal decision was not followed. She also signed the subdivision agreement with changes to the legal binding tribunal decision without permission from the tribunal,
It is not surprising that during the Provincial Ombudsman investigation as stated in the Ombudsman’s findings attached below some members of council had difficulty recollecting details of what was discussed. Seems like some of the past councillors suffered from selective memory when they were under investigation.
During this meeting the deputy mayor chaired the meeting (as I had to attend my daughter’s graduation), after opening the meeting he left the meeting due to a conflict of interest. I joined the meeting after returning from my daughter’s graduation.
The March 1, 2022 and March 7, 2022 meeting was to terminate the Treasurer.
I have attached below the minutes of the June 29, 2021, March 1, 2022 and March 7, 2022 meeting. Read section 2.1 of the March 1, 2022 minutes where I told the 4 councillors not to proceed and they still did, we taxpayers are now paying for the lawsuit filed by the treasurer against the 4 councillors.
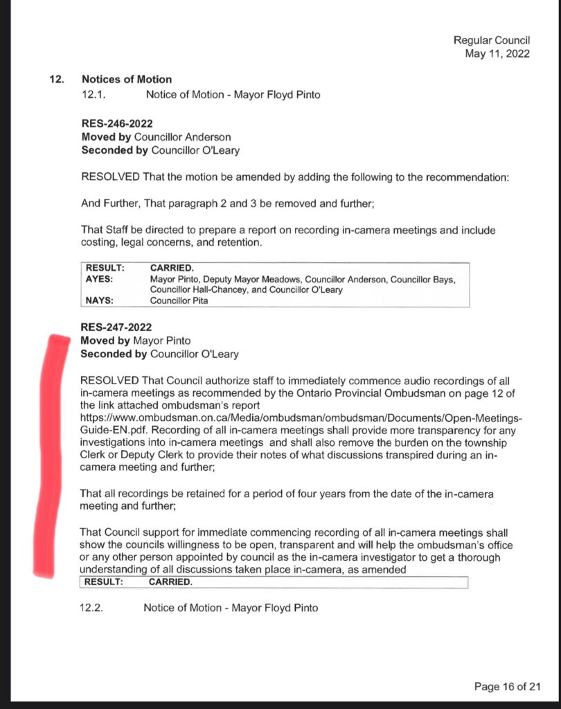
This is what goes on at in-camera meetings behind the backs of the residents. The mentality of you scratch my back and I will scratch your back is still active in our township office and council. To avoid problems of council having difficulties recollecting what was discussed in case of investigations, when I was Mayor, I got a resolution supported by all on council to record all discussions taking place at in-camera meetings (resolution RES-247-2022 attached below marked in RED). As of today no in-camera meetings are recorded so there is no proof of what is being discussed in case of any in-camera investigations. This is the transparency and leadership we have from our Township council under Scott Anderson. The reason the recordings could not start when I was on council was because it was a capital expense and would have to be approved at budget discussions. The next year was the elections and our current Mayor Scott Anderson did not follow up with the resolution to record the in-camera meetings. Of course, we as residents have to understand his position on recording these in-camera meetings. How can he support recording in-camera meetings when he is involved in petitioning the in-camera meeting that has been deemed illegal by the provincial ombudsman.



