The township has asked me to take down the audio recordings of the February 17, 2022 meeting although it was an illegal meeting with no agenda describing what council was going to discuss in camera. Councillor Anub Simson current ward 1 councillor who was the only one besides me who knew my website address complained to the township about my website and its contents. Councillor Anub Simson and the township feels that the contents of the recordings will do irreparable harm to the township. But Councillor Anub Simson and the township do not care about the harm done to the residents. I have discussed this with the emails in the link “cease and desist”
Sequence of events that led to the 4 councillors censuring me
- July 14, 2021 council appoints Burnside engineers Tom Pridham and Sid Vander veen as the engineers without permission from the Tribunal.

2. I inform CAO Rhonda Bunn that the Ministry confirmed with me permission was not given by the Tribunal to deviate from the act and appoint engineers. On January 7, 2022 at 9:09 am C.A.O Rhonda Bunn sends email to all on council (email attached below) informing council permission was not obtained.

3. On January 7, 2022 around 11 am I send an email to all on council (email address council@adjtos.ca) and the CAO informing them of my concerns with their actions contrary to the laws. Email attached below.
4. On February 6, 2022 I reply to a resident question on facebook as she has concerns with what was happening on council. I inform the resident that the rules were not followed and that is the reason Bob Meadow’s and myself voted against.
5. I contact the engineer Sid Vander Veen (Burnside and associates) who apparently was the person who got permission from the ministry to deviate from the act. To my surprise (marked in red) he states that no one can connect to the municipal drain without permission from council. He then states that since council accepted the report on November 8, 2021 the matter is closed. I guess so the council is now liable. Then in the second red circle he further states that he cannot comment until his section 76 appointment takes place and to direct all questions to staff. But did council not appoint him on July 14, 2021 as an employee of Burnside and associates.

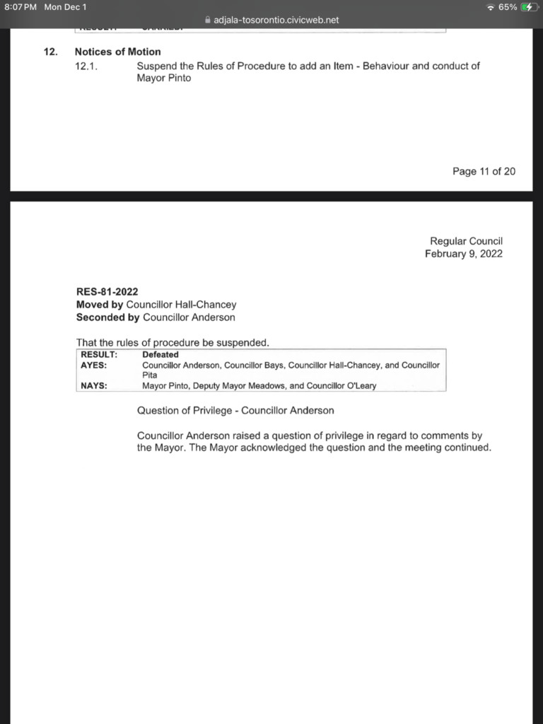
5. On February 9, 2022 Bob Meadows puts a motion attached below for staff to hand over documents showing the process was followed. In a recorded vote the 4 Councillors Annette Bays, Deborah Hall Chancey aka Deborah Hall, Scott Anderson and Jonathan Pita vote against providing the documents as they knew no permission was obtained from the Tribunal as per the CAO email dated January 7, 2022 so the 4 councillors were caught doing things contrary to the laws.

6. To cover up their actions contrary to the laws as per the attached motion below Councillor Deborah Hall Chancey aka Deborah Hall breaks the procedure bylaw to suspend the rules and makes a Notice of Motion about my behavour at the February 9, 2022 council meeting in an attempt to shut me up as the CAO and council were caught appointing engineers without tribunal permission. In a recorded vote Deborah Hall Chancey aka Deborah Hall attempt to suspend the rules is voted down as she could not get a 2/3rd majority of council vote as Bob Meadows, Ronald O’Leary and myself vote against suspending rules as notice of motion was not on the agenda. Scott Anderson then immediately puts his notice of motion to censure me. So again, this shows, the same 4 councillors were working together to do things contrary to the laws.

7. On March 2022, the staff report showing the change in red on the report that states the appointment of the engineers will not take place until permission from the tribunal is obtained. This report was now written proof of the councils actions contrary to the laws.




8. I also attached the minutes of the meeting below showing the same councillor’s, Deborah Hall Chaney aka Deborah Hall who accused me of making false allegations and Annette Bays who demanded that I give a public apology ended up moving and seconding the motion and all on council approved the amended motion that the engineers appointment would not take place until permission to procure a report is obtained from the tribunal pursuant to the section 76(1) of the drainage act. So finally council admits that they were doing things contrary to the laws.

9. Soon after accepting the above staff report and passing the motion Scott Anderson along with Annette Bays, Jonathan Pita, Deborah Hall Chancey aka Deborah Hall censure me for violating numerous sections of the council code of conduct with no investigation by the integrity commissioner into their allegations as required by law as they were upset that their actions contrary to the laws was made public.
10. I commence civil action against the 4 councillors to clear my name as the censured me without following the Municipal Act and without providing any evidence. The 4 councillors then put out the below press release.

11. When I heard from my lawyer that the 4 councillors put the lawsuit on the township residents to pay their legal fees I settled the lawsuit with a condition that all my legal fees will be returned to me and the 4 Councillors will retract the censure. The residents did nothing to me and I did not want the residents to pay for the wrongdoings of the 4 councillors.
I get paid my legal fees around $15,000 and the 4 councillors vote to reconsider their censure and then vote to remove the censure.
The 4 councillors actions of voting against their censure speaks volumes of their integrity, their actions and whose best interest they were serving when they were on council.

In Summary
The four councillors were the ones who made false allegations in their censure against me because I disclosed to the residents that the Colgan Municipal Drain Process was not being followed.
Staff finally admitted and informed council that the township did NOT properly follow the Drainage Act and the Drainage Tribunal process for appointing the drainage engineers but the 4 councillors still censured me to cover up their activities contrary to the laws as they were upset that their names and reputation got spoiled in public.
Past deputy mayor Bob Meadows at the time and myself told all on council they were not following the drainage act properly yet they voted in favour of it anyway.
After the 4 councillors voted in favour of cancelling the engineers appointment until permission from the tribunal was obtained, so therefore, violated the Drainage Act, they then censured me accusing me of providing misinformation and lies to the residents to cover their illegal actions.
I felt it was my duty in the council meeting and on facebook to be open and transparent to my residents with regards to the process not being followed properly in accordance to the law.
If I was providing lies and misinformation then why did the 4 councillors vote to cancel the appointment of the Drainage engineers until permission from the Tribunal is obtained?
Councillor Annette Bays then filed a harassment complaint against the previous deputy mayor Bob Meadows and myself, again with false allegations. The integrity commissioner cleared us of all harassment charges.
When the findings and report from the integrity commissioner into Annette Bays harrassment allegations came to the council meeting to be accepted, Annette Bays and Deborah Hall Chancey aka Deborah Hall voted against accepting the Integrity Commissioner’ s findings as Annette Bays was again caught lying to the integrity commissioner as Bob Meadows and I were cleared of all her allegations.
Under the Municipal Act, any violations of the Council Code of Conduct have to be addressed to the integrity Commissioner for an investigation. The four councillors censured me on violations of numerous sections of the Council Code of Conduct without any investigation conducted by the Integrity commissioner as required under the Municipal Act. The 4 councillors were fully aware of the process for any code of conduct violations but again chose to break the laws to cover their illegal activities.
The illegal actions of the four council members to censure me under the Council Code of Conduct without any evidence and without following the process with a formal complaint to the Integrity Commissioner as required under the Municipal Act caused me to take legal action against them personally.
Instead of taking responsibility for their own actions and paying their own legal fees the 4 councillors put all their legal fees on the township insurance, which would end up increasing the Township Insurance premiums and the residents taxes. As I did not want my residents to be financially responsible for the 4 councillors illegal actions, all I requested was for them to retract the censure against me and that my legal fees be refunded.
As they had no evidence to support their allegations against me, they voted to retract their false statements against me (the censure) which cost the taxpayers around $15,000 for my legal costs to clear my name for their false allegations. Yet during elections they all ran on platforms to be responsible with tax dollars.
